Bonnes pratiques de drainage thoracique
contenu
menu
navigation
outils
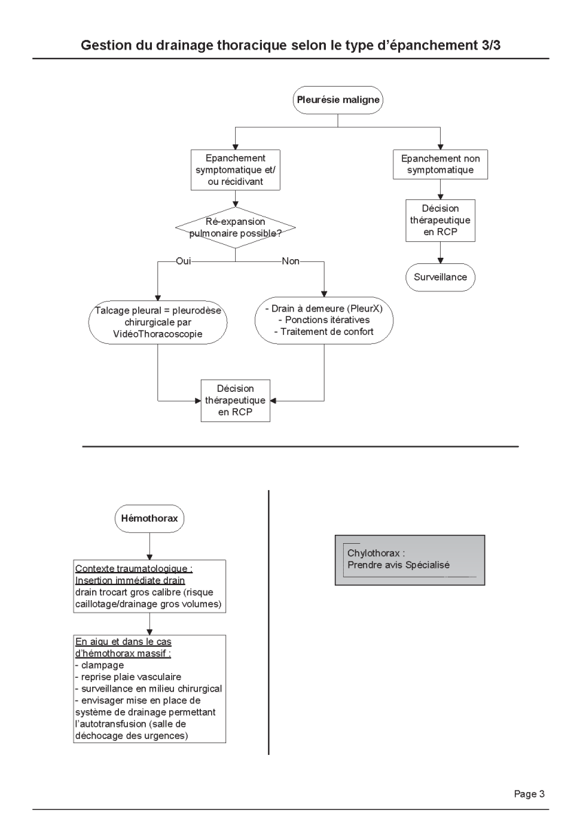
Pleurésie maligne, Hémothorax et Chylothorax
Ne se substitue pas au protocole en vigueur dans votre établissement
Précédent
Suivant
Introduction
Evaluez-vous
Quelques rappels
Objectifs du drainage pleural
Principe physique du drainage thoracique
Indications et arbres décisionnels
Indications du drainage thoracique
Arbres décisionnels (propositions)
Introduction
Pneumothorax spontané
Pleurésie purulente
Pleurésie maligne, Hémothorax et Chylothorax
Téléchargement
Modalités de gestion du drainage pleural
Systèmes de drainage thoracique
Evaluez-vous
Conclusion
Accueil
Module
Outils