Débit et Unités Internationales (UI)
Mme Aude Javel est transférée en soins intensifs après une laparotomie.
Son traitement comprend un anticoagulant, de l'héparine sodique en perfusion IV continue à la seringue électrique à 15 000 UI / 24 h.
Vous disposez de flacons d'héparine sodique de 5 mL = 25 000 UI, d'ampoules de NaCl 0.9%, d'une seringue de 50mL. Vous préparez la seringue pour pousse-seringue en diluant l'héparine sodique dans du NaCl 0.9% afin d'obtenir une seringue remplie de 48mL de solution.
Question 1
Quelle quantité d'héparine sodique allez-vous prélever (en mL) ? (Attention : valeur numérique attendue)
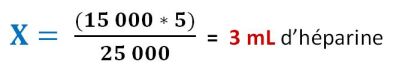
La prescription d'héparine sodique est de 15 000 UI /24 h sachant que l'on dispose d'ampoules de 25 000 UI /5 mL. On veut donc connaître le volume d'héparine à prélever pour avoir 15 000 UI.
Posons le tableau suivant :
Quantité d'héparine (UI) | Volume (mL) |
25 000 | 5 |
15 000 | X |
Il faudra donc prélever 3 mL d'héparine sodique pour avoir 15 000 UI.
Question 2
Quelle volume de sérum physiologique (NaCl 0.9%) allez-vous prélever (en mL) ? (Attention : valeur numérique attendue)
On sait que l'on a :
Volume final de la seringue = 48 mL
Volume d'héparine sodique = 3 mL
Volume de sérum physiologique = volume final – volume d'héparine= 48 – 3 = 45 mL de NaCl 0.9% à prélever
→ Il faudra donc prélever 45 mL de sérum physiologique et 3 mL d'héparine sodique.
Question 3
Calculez le débit de la seringue électrique (en mL/h).(Attention : valeur numérique attendue)
On sait que :
Volume total = 48 mL
Durée de la seringue électrique = 24 h
Ainsi, il faudra régler le débit de la seringue électrique à 2 mL/h.