Exercice : Débit avec un pousse seringue électrique
Le cardiologue prescrit pour le patient Alain Proviste une perfusion à débit constant au pousse seringue électrique de 50 mg/h de lidocaïne.
Pour préparer la seringue, vous utilisez 4 ampoules de 5 ml de lidocaïne Xylocard® à 2%. Vous complétez la seringue à 48 mL avec du G5%. La perfusion est mise en route le matin à 8 heures.

Question 1
Combien de temps (en heures) durera la perfusion ?(Attention : valeur numérique attendue)
On sait que :
Débit = 50 mg/h
Ampoule de lidocaïne à 2% signifie que l'on a 2 g de principe actif dans 100 mL soit 2000 mg dans 100 mL ou 20mg/mL. Dans une ampoule de 5mL, il y a donc 100mg. On prélève 4 ampoules soit 400mg de lidocaïne.
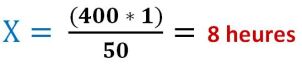
On pose le tableau suivant :
Masse de principe actif (mg) | Durée de la perfusion (h) |
50 | 1 |
400 | X |
Ainsi, la perfusion durera 8 h, elle sera remplacée l'après-midi à 16 h.
Question 2
Quelle quantité (en mL) de glucose à 5% allez-vous prélever ? (Attention : valeur numérique attendue)
On sait que :
Volume final = 48 mL
Volume de 4 ampoules de 5mL de Xylocard® = 20 mL
Donc Volume de G5% = Volume final - Volume de lidocaïne = 48 - 20 = 28 mL de G5%
Question 3
Quelle sera la vitesse de perfusion (en mL/h) de la seringue ? (Attention : valeur numérique attendue)
Rappel : le débit d'un pousse seringue s'exprime en mL/h !
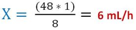
Posons le tableau suivant :
Volume à perfuser (mL) | Durée de perfusion (h) |
48 | 8 |
X | 1 |
Ainsi, pour administrer les 48 mL en 8h, il faudra régler le pousse seringue électrique à 6 mL/h.