Exercice : S'entraîner au calcul de débit
Prescription Médicale
Perfuser 1,5 litre de sérum salé isotonique sur 24 h
Question
Comment réaliser cette perfusion ?
Indice
Pour faciliter le calcul du débit il existe des tables de correspondance.

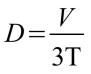
Pour calculer un débit on peut aussi utiliser la formule :

D = Débit en gouttes/min
V = Volume en mL
T = Temps en heure
Solution
Calcul
1,5 litre = 1 500 mL = (1 500 x 20) = 30 000 gouttes
24 h = (24x60)= 1 440 minutes
Le débit est de 30 000/1 440 = 20,83, soit 21 gouttes/minute
Deux solutions
soit vous passez un litre sur 16 heures (2/3 de 24h) + 500 mL sur 8 heures (1/3 de 24 h),
soit 3 poches de 500 mL sur 8 heures chacune.
Apposer l'étiquette de telle sorte que la graduation reste visible
N'oubliez pas de noter l'échelle horaire sur votre perfusion, ainsi que ce qu'elle contient.
Ne jamais brancher une poche de volume supérieur à 500 mL chez un enfant (même si le médecin vous prescrit 2 litres sur 24 heures, vous devez le fractionner en 4 x 500 mL)